13 Lösungen Übungsaufgaben

13.1 Aufgabe 1

13.1.1 Output 1

Lösung: tau paralleles Modell

  • alle Ladungen auf 1
  • Alle Intercepts der manifesten auf 0
  • Alle Fehlervarianzen der manifesten identisch

Modell passt nicht

13.1.2 Output 2

Lösung: essentiell tau äquivalent

  • alle Ladungen auf 1
  • unterschiedliche Mittelwerte der manifesten Variablen
  • Mittelwert von eta auf 0
  • unterschiedliche Fehlervarianzen der manifesten Variablen

Modell passt nicht richtig (laut RMSEA und Chi quadrat), CFI und TLI sprechen ganz knapp für Modellfit

13.1.3 Output 3

Lösung: essentiell tau äquivalent

  • alle Ladungen auf 1
  • unterschiedliche Mittelwerte der manifesten Variablen
  • Mittelwert von eta auf 0
  • unterschiedliche Fehlervarianzen der manifesten Variablen

Modell passt richtig (CFI, TLI und Chi quadrat), Nur RMSEA spricht knapp gegen einen Modellfit

13.1.4 Output 4

Lösung: tau kongenerisch

  • alle Ladungen frei geschätzt
  • unterschiedliche Mittelwerte der manifesten Variablen
  • Mittelwert von eta auf 0 und varianz von eta auf 1 (Normierung)
  • unterschiedliche Fehlervarianzen der manifesten Variablen

Modell passt nicht (alle vier Fitindices sprechen stark gegen einen Modellfit)

13.1.5 Output 5

Lösung: tau kongenerisch

  • alle Ladungen frei geschätzt, la11 = 1 (Normierung)
  • unterschiedliche Mittelwerte der manifesten Variablen, la10 = 0 (Normierung)
  • Mittelwert und Varianz von eta frei geschätzt
  • unterschiedliche Fehlervarianzen der manifesten Variablen

Modell passt gut (alle vier Fitindices sprechen stark für einen Modellfit)

13.2 Aufgabe 2

13.2.1 Output 1

# Lösung: vervollständigter Output (tau paralleles Modell) 

Latent Variables:
                   Estimate  Std.Err  z-value  P(>|z|)  
  eta =~                                                                
    y1                1.000                              
    y2                1.000                              
    y3                1.000                             
    y4                1.000                               
    y5                1.000                              
    y6                1.000                              

Intercepts:
                   Estimate  Std.Err  z-value  P(>|z|)   
    eta               0.317    0.056    5.651    0.000    
   .y1                0.000                               
   .y2                0.000                               
   .y3                0.000                              
   .y4                0.000                              
   .y5                0.000                               
   .y6                0.000                            

Variances:
                   Estimate  Std.Err  z-value  P(>|z|)   
    eta     (veta)    0.824    0.077   10.694    0.000   
   .y1      (veps)    0.709    0.026   27.386    0.000    
   .y2      (veps)    0.709    0.026   27.386    0.000   
   .y3      (veps)    0.709    0.026   27.386    0.000   
   .y4      (veps)    0.709    0.026   27.386    0.000    
   .y5      (veps)    0.709    0.026   27.386    0.000    
   .y6      (veps)    0.709    0.026   27.386    0.000    

13.2.2 Output 2

# Lösung: vervollständigter Output (essentiell tau äquivalent, Normierung E(eta)=0)

Latent Variables:
                   Estimate  Std.Err  z-value  P(>|z|)   
  eta =~                                                                
    y1                1.000                              
    y2                1.000                              
    y3                1.000                              
    y4                1.000                               

Intercepts:
                   Estimate  Std.Err  z-value  P(>|z|)  
    eta               0.000                               
   .y1               15.205    0.161   94.715    0.000   
   .y2               14.990    0.164   91.229    0.000  
   .y3               15.130    0.161   93.897    0.000   
   .y4               15.070    0.164   92.155    0.000  

Variances:
                   Estimate  Std.Err  z-value  P(>|z|)   
    eta     (veta)    4.125    0.441    9.347    0.000    
   .y1      (vps1)    1.029    0.141    7.309    0.000    
   .y2      (vps2)    1.275    0.163    7.837    0.000    
   .y3      (vps3)    1.068    0.144    7.407    0.000   
   .y4      (vps4)    1.223    0.158    7.744    0.000   

13.2.3 Output 3

# Lösung: vervollständigter Output (tau kongenerisch, Normierung la10 = 0, la11 = 1)

Latent Variables:
                   Estimate  Std.Err  z-value  P(>|z|)  
  eta =~                                                                
    item_1  (la11)    1.000                               
    item_2  (la21)    0.749    0.053   14.034    0.000   
    item_3  (la31)    1.203    0.055   22.016    0.000   
    item_4  (la41)    0.843    0.046   18.275    0.000    
    item_5  (la51)    0.692    0.053   12.965    0.000    
    item_6  (la61)    0.662    0.051   12.899    0.000   

Intercepts:
                   Estimate  Std.Err  z-value  P(>|z|)   
    eta               2.563    0.053   48.247    0.000   
   .item_1  (la10)    0.000                             
   .item_2  (la20)    0.395    0.145    2.723    0.006   
   .item_3  (la30)   -0.823    0.147   -5.583    0.000   
   .item_4  (la40)    0.786    0.125    6.280    0.000    
   .item_5  (la50)   -0.193    0.145   -1.327    0.185   
   .item_6  (la60)    0.765    0.139    5.482    0.000    

Variances:
                   Estimate  Std.Err  z-value  P(>|z|)   
    eta     (veta)    0.940    0.088   10.657    0.000    
   .item_1  (vps1)    0.468    0.040   11.758    0.000    
   .item_2  (vps2)    0.895    0.061   14.684    0.000    
   .item_3  (vps3)    0.368    0.043    8.630    0.000    
   .item_4  (vps4)    0.507    0.038   13.231    0.000    
   .item_5  (vps5)    0.940    0.063   14.896    0.000    
   .item_6  (vps6)    0.871    0.058   14.908    0.000 

13.3 Aufgabe 3

# Lösung: vollständig beschrifteter Output

Latent Variables:
                   Estimate  Std.Err  z-value  P(>|z|)   
  eta =~                                                                
    y1      (la11)    1.690    0.116   14.572    0.000    
    y2      (la21)    1.943    0.136   14.291    0.000   
    y3      (la31)    1.905    0.147   13.002    0.000    

Intercepts:
                   Estimate  Std.Err  z-value  P(>|z|)   
    eta               0.000                               
   .y1      (la10)    0.245    0.137    1.786    0.074   
   .y2      (la20)    0.845    0.160    5.281    0.000    
   .y3      (la30)    0.045    0.168    0.267    0.789   

Variances:
                   Estimate  Std.Err  z-value  P(>|z|)  
    eta               1.000                              
   .y1      (vps1)    0.910    0.168    5.409    0.000    
   .y2      (vps2)    1.345    0.231    5.835    0.000   
   .y3      (vps3)    2.033    0.272    7.487    0.000    

13.4 Aufgabe 4

13.4.1 Output 1

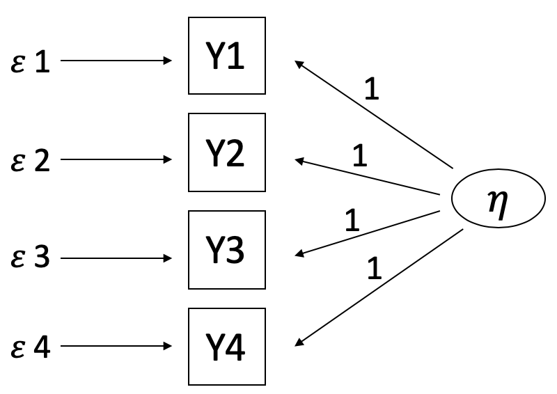
Lösung: Modell tau parallel Modellgleichungen: \[ y1 = 0 + 1 \cdot \eta + \epsilon 1 \\ y2 = 0 + 1\cdot \eta + \epsilon 2 \\ y3 = 0 + 1\cdot \eta + \epsilon 3 \\ y4 = 0 + 1\cdot \eta + \epsilon 4 \\ \]

Übungsaufgabe 4 - Pfadmodell tau paralleles Messmodell

Figure 13.1: Übungsaufgabe 4 - Pfadmodell tau paralleles Messmodell

13.4.2 Output 2

Lösung: Essentiell tau äquivalentes Modell, Normierung la10 = 0 Modellgleichungen: \[ y1 = 0 + 1\cdot \eta + \epsilon 1 \\ y2 = -0.215 + 1\cdot \eta + \epsilon 2 \\ y3 = -0.075 + 1\cdot \eta + \epsilon 3 \\ y4 = -0.135 + 1\cdot \eta + \epsilon 4 \\ \]
Übungsaufgabe 4 - Pfadmodell essentiell tau äquivalentes Messmodell

Figure 13.2: Übungsaufgabe 4 - Pfadmodell essentiell tau äquivalentes Messmodell

13.4.3 Output 3

Lösung: Modell tau kongenerisch, Normierung E(eta)= 0 und Var(eta) = 1 Modellgleichungen: \[ y1 = 3.443 + 0.864\cdot \eta + \epsilon 1 \\ y2 = 3.460 + 0.004\cdot \eta + \epsilon 2 \\ y3 = 3.989 + 0.931\cdot \eta + \epsilon 3 \\ y4 = 2.994 + 0.432\cdot \eta + \epsilon 4 \\ y5 = 3.528 + 0.573\cdot \eta + \epsilon 5 \\ y6 = 5.051 + 0.785\cdot \eta + \epsilon 6 \\ y7 = 3.966 + 0.029\cdot \eta + \epsilon 7 \\ y8 = 3.267 + 1.051\cdot \eta + \epsilon 8 \\ \]
Übungsaufgabe 4 - Pfadmodell tau kongenerisches Messmodell

Figure 13.3: Übungsaufgabe 4 - Pfadmodell tau kongenerisches Messmodell

13.4.4 Output 4

Lösung: Modell tau kongenerisch, Normierung la10 = 0, la11 = 1 Modellgleichungen: \[ y1 = 0 + 1\cdot \eta + \epsilon 1 \\ y2 = -0.290 + 1.081\cdot \eta + \epsilon 2 \\ y3 = -0.226 + 1.050\cdot \eta + \epsilon 3 \\ y4 = -0.024 + 0.943\cdot \eta + \epsilon 4 \\ \]

Übungsaufgabe 4 - Pfadmodell tau kongenerisches Messmodell

Figure 13.4: Übungsaufgabe 4 - Pfadmodell tau kongenerisches Messmodell